1247. Найдите решение системы уравнений:
ПОМОГИТЕ ПОЖАЛУСТА
Приложения:
ENDERGINA:
в первой 8 и 3
Ответы
Ответ дал:
0
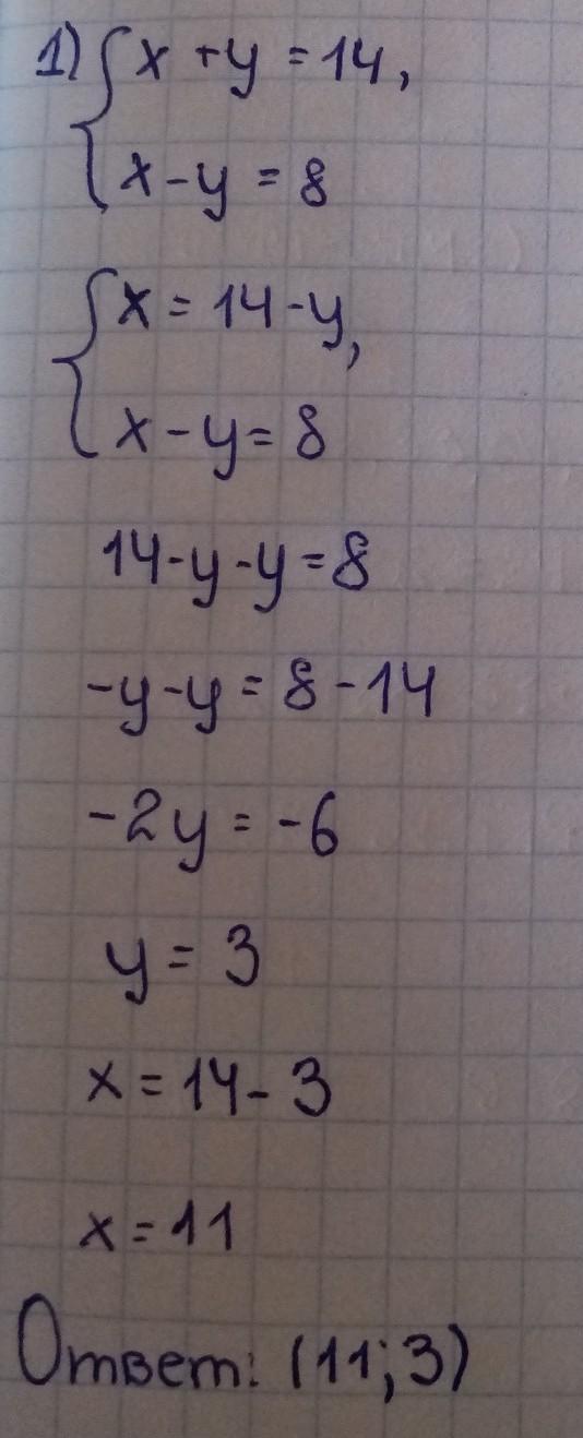
— решение на фотографиях. решено способом подстановки.
Приложения:
Вас заинтересует
2 года назад
2 года назад
3 года назад
3 года назад
8 лет назад
8 лет назад
10 лет назад
10 лет назад