• Предмет: Алгебра
  • Автор: russianladyy
  • Вопрос задан 3 года назад

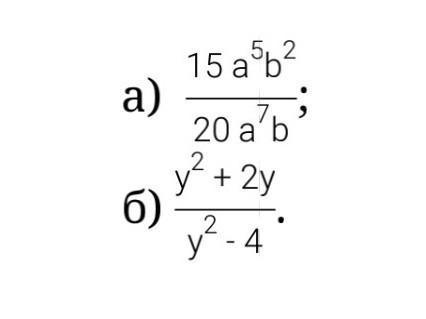
сократить дроби
дроби на фотографии​

Приложения:

Ответы

Ответ дал: boberon
1

\dfrac{15a^5b^2}{20a^7b} = \dfrac{3b}{4a^2}, \ b\neq0

\dfrac{y^2+2y}{y^2-4}=\dfrac{y(y+2)}{(y-2)(y+2)}=\dfrac{y}{y-2}, \ y\neq-2

Вас заинтересует