• Предмет: Математика
  • Автор: zybec
  • Вопрос задан 3 года назад

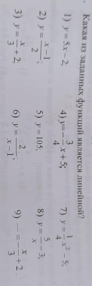
Помогите уже кто нибудь 10 раз задал задачу никто не помогает столько умных здесь не один не помог​

Приложения:

Ответы

Ответ дал: muradhasimov275
0

Ответ:

первый и четвертый

Пошаговое объяснение:

формула линейного уравнения

у=кх+b

Вас заинтересует