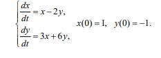
Решить систему уравнений и найти частные решения, которые
удовлетворяют приведенным начальным условиям:
Приложения:

Ответы
Ответ дал:
4
Ответ:
решение на фотографиях
Приложения:


NikitaSotnikov2002:
О май гад! А чё, люди вообще такое умеют решать? о_О
Вас заинтересует
2 года назад
2 года назад
2 года назад
8 лет назад
8 лет назад
9 лет назад
9 лет назад