• Предмет: Алгебра
  • Автор: symbatamzebek40
  • Вопрос задан 3 года назад

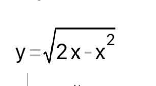
Надо найти экстремумы, помогите пожалуйста

Приложения:

Ответы

Ответ дал: m11m
1

Ответ:

Объяснение:

!!!!!!!!!!!!!!!!!!!

Приложения:
Вас заинтересует