• Предмет: Математика
  • Автор: lemurity
  • Вопрос задан 3 года назад

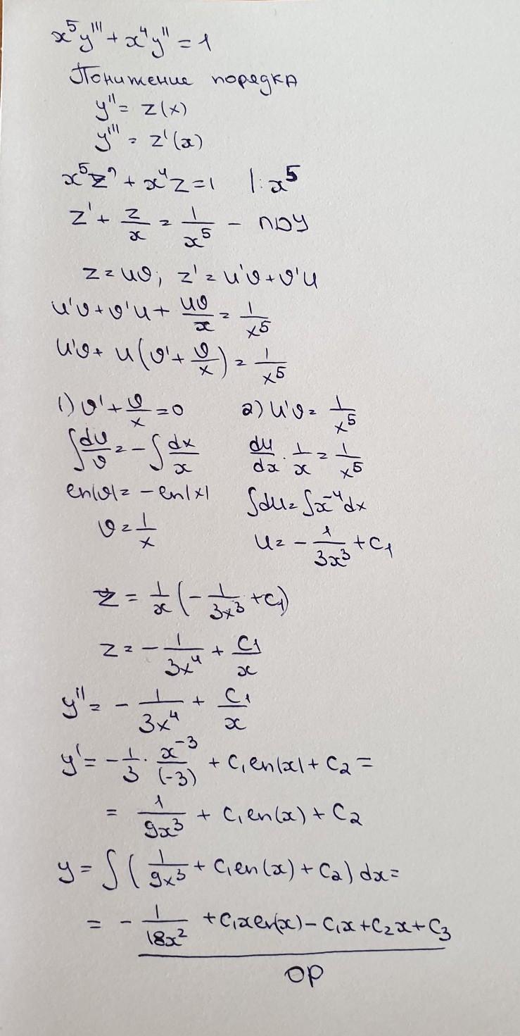
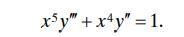
Решить дифференциальное уравнение

Приложения:

Ответы

Ответ дал: Miroslava227
1

Ответ:

решение на фотографии.

Приложения:
Вас заинтересует