Ответы
Ответ дал:
0
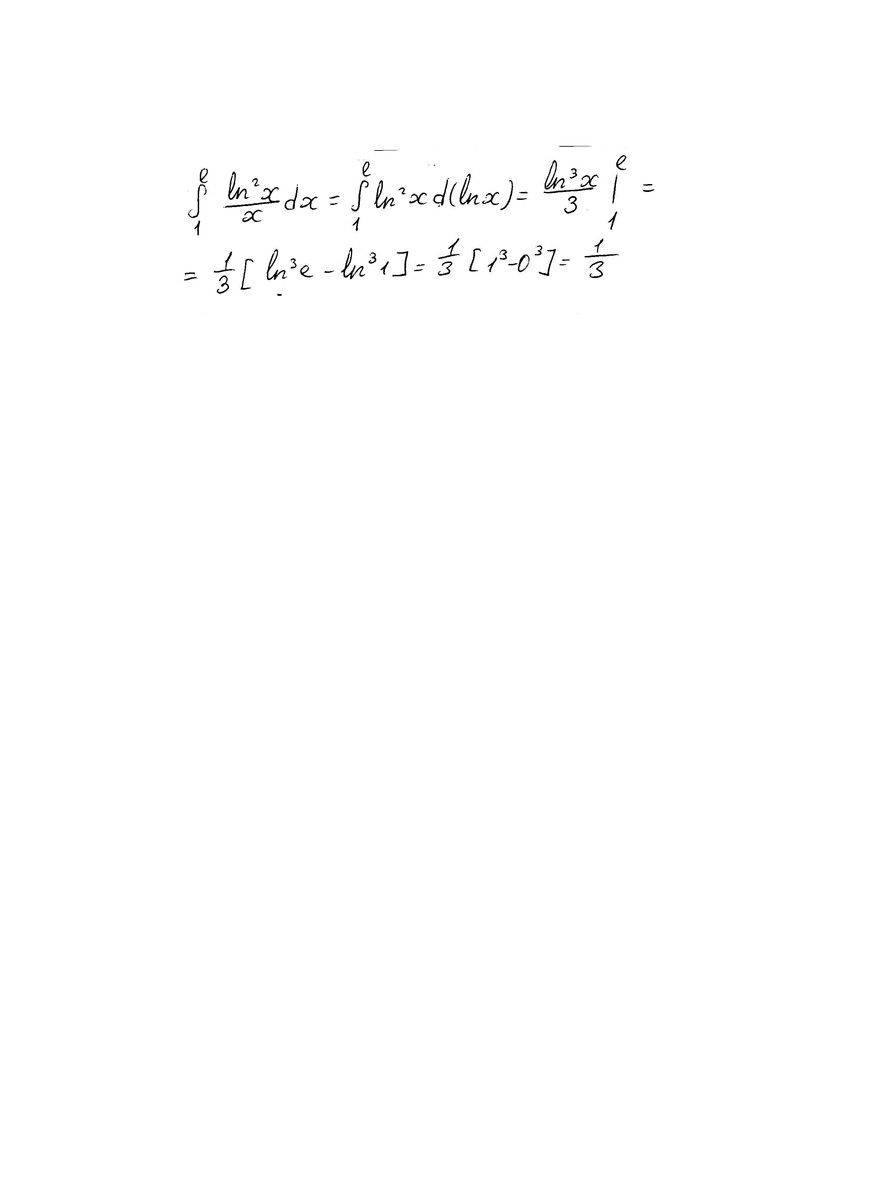
Решение третьего интеграла во вложении
Приложения:

Вас заинтересует
8 лет назад
10 лет назад
10 лет назад