• Предмет: Алгебра
  • Автор: ievlevandrey6
  • Вопрос задан 3 года назад

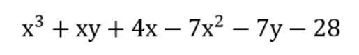
Разложите на множители

Приложения:

Ответы

Ответ дал: Universalka
0

x³ + xy + 4x - 7x² - 7y - 28 = (x³ + xy + 4x) - (7x² + 7y + 28 ) =

= x(x² + y + 4) - 7(x² + y + 4) = (x² + y + 4)(x - 7)

Вас заинтересует