• Предмет: Алгебра
  • Автор: ievlevandrey6
  • Вопрос задан 3 года назад

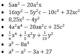
Разложите многочлены на множители

Приложения:

Ответы

Ответ дал: masamamontova
1

Ответ:

1) 5а(в^2-4ах)

2) (у^2+2с^2)(16х-5с)

3) (0,5х-2у)(0,5х+2у)

4) (2ав^2-5с)^2

5) (1/2х^2+1/5у)^2

6) (а-в)(а^2+2ав+4в^2)

7) -а(а^2-3а+9)(а+3)^2

Вас заинтересует