• Предмет: Математика
  • Автор: Аноним
  • Вопрос задан 3 года назад

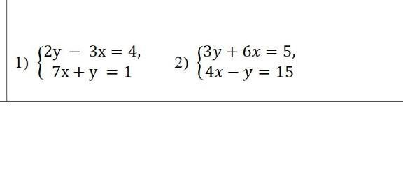
ПОЖАЛУЙСТА ПОМОГИТЕ,Я ВАЩЕ НЕ ВДУПЛЯЮ КАК ЭТО РЕШААААААААААААТЬ​

Приложения:

Ответы

Ответ дал: muradhasimov275
0

Пошаговое объяснение:

....................

Приложения:

Аноним: пасиба
muradhasimov275: пожалуйста
Вас заинтересует