• Предмет: Алгебра
  • Автор: ElizabetaFaronova
  • Вопрос задан 3 года назад

Помогите пожалуйста Алгебра 10 класс.

Приложения:

Ответы

Ответ дал: GYKUCH
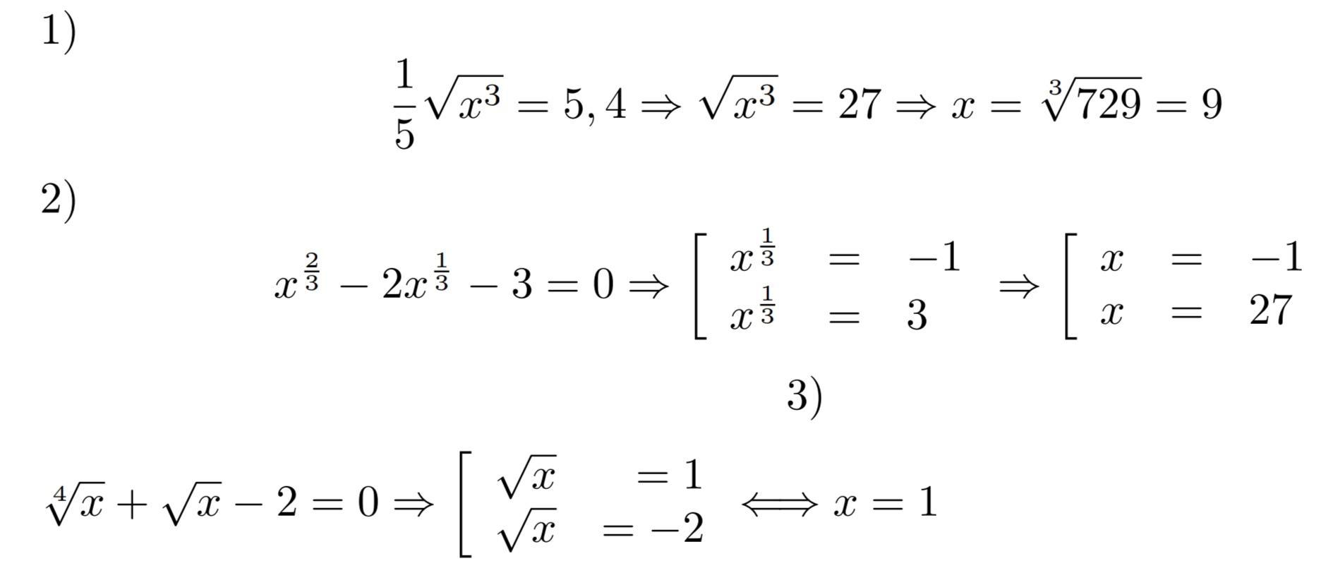
1

как смогла, решила. думаю, верно

Приложения:
Ответ дал: Аноним
1

Ответ:

Объяснение:

Смотри фото

Приложения:
Вас заинтересует