• Предмет: Алгебра
  • Автор: causeyougotthat
  • Вопрос задан 3 года назад

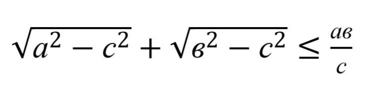
доказать неравентсво

Приложения:

Ответы

Ответ дал: yugolovin
1

Из контекста ясно, что автор предполагает, что все переменные больше нуля - иначе неравенство может быть и неверным. Разделим обе части неравенства на c, после чего обозначим \frac{a}{c}=p> 0;\ \frac{b}{c}=q>0.

Получили равносильное неравенство \sqrt{p^2-1}+\sqrt{q^2-1}\le pg.

Поскольку очевидно, что p\ge 1;\ q\ge 1, можно сделать замену

p=\frac{1}{\cos \alpha};\ q=\frac{1}{\cos \beta};\ \alpha, \beta\in [0;\frac{\pi}{2}). Получается равносильное неравенство

tg\alpha+tg\beta\le \frac{1}{\cos\alpha}\cdot\frac{1}{\cos\beta};\ \frac{\sin(\alpha+\beta)}{\cos\alpha\cdot\cos\beta}\le\frac{1}{\cos\alpha\cdot\cos\beta}.

Последнее неравенство очевидно.

Вас заинтересует