• Предмет: Математика
  • Автор: arunaarmankyzy69
  • Вопрос задан 3 года назад

ТОЛЬУО ПРОВИЛЬНО ОТВЕТЬТЕ ПРОШУ!!!

сократите дроби

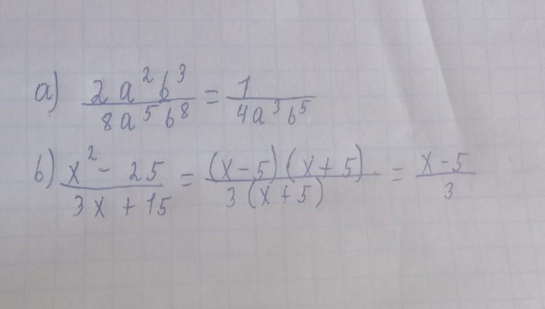
a) 2a^2 b^3
_______

8a^5 b^8

b) x^2-25
_______
3x+15​

Приложения:

Ответы

Ответ дал: Wtthhllutlknbt
3

а) 2а²b³/8a⁵b⁸= a²b³/4a⁵b⁸= b³/4a³b⁸= 1/4a³b⁵

b) x²-25/3x+15= (x-5)(x+5) / 3(x+5) = x-5/3


arunaarmankyzy69: спасибо
arunaarmankyzy69: это правильный оьвет
arunaarmankyzy69: ???
Ответ дал: ajslukasen
2

Это правильный ответ (◠‿◕)

Приложения:

arunaarmankyzy69: здесь*
arunaarmankyzy69: ты в казахской школе учишься или в русской
arunaarmankyzy69: просто твои вопросы посмотрела
ajslukasen: Казахской
ajslukasen: А ты?
arunaarmankyzy69: в русской
arunaarmankyzy69: но я казашка))))
arunaarmankyzy69: ты еще решаешь?)
arunaarmankyzy69: извини но мне просто очень надо
ajslukasen: Решала там
Вас заинтересует