• Предмет: Алгебра
  • Автор: azarovdmitro604
  • Вопрос задан 3 года назад

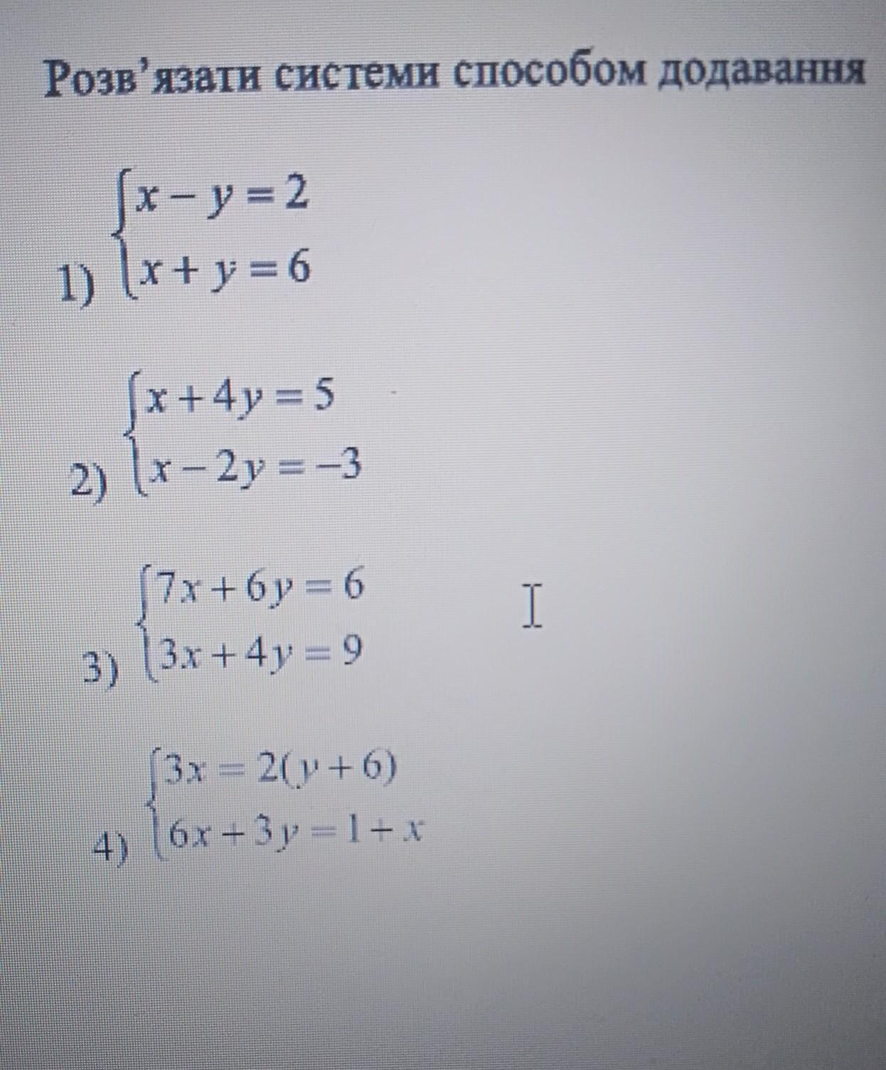
Памагіте пажееееееееееееееее​

Приложения:

Ответы

Ответ дал: mio017
1
..…………….……….………….……….......
Приложения:

azarovdmitro604: спасіба Бальшоє
Вас заинтересует