• Предмет: Алгебра
  • Автор: Аноним
  • Вопрос задан 3 года назад

найдите значение выражения

пожалуйста помогитеееееее​

Приложения:

Ответы

Ответ дал: Nelia2019
1

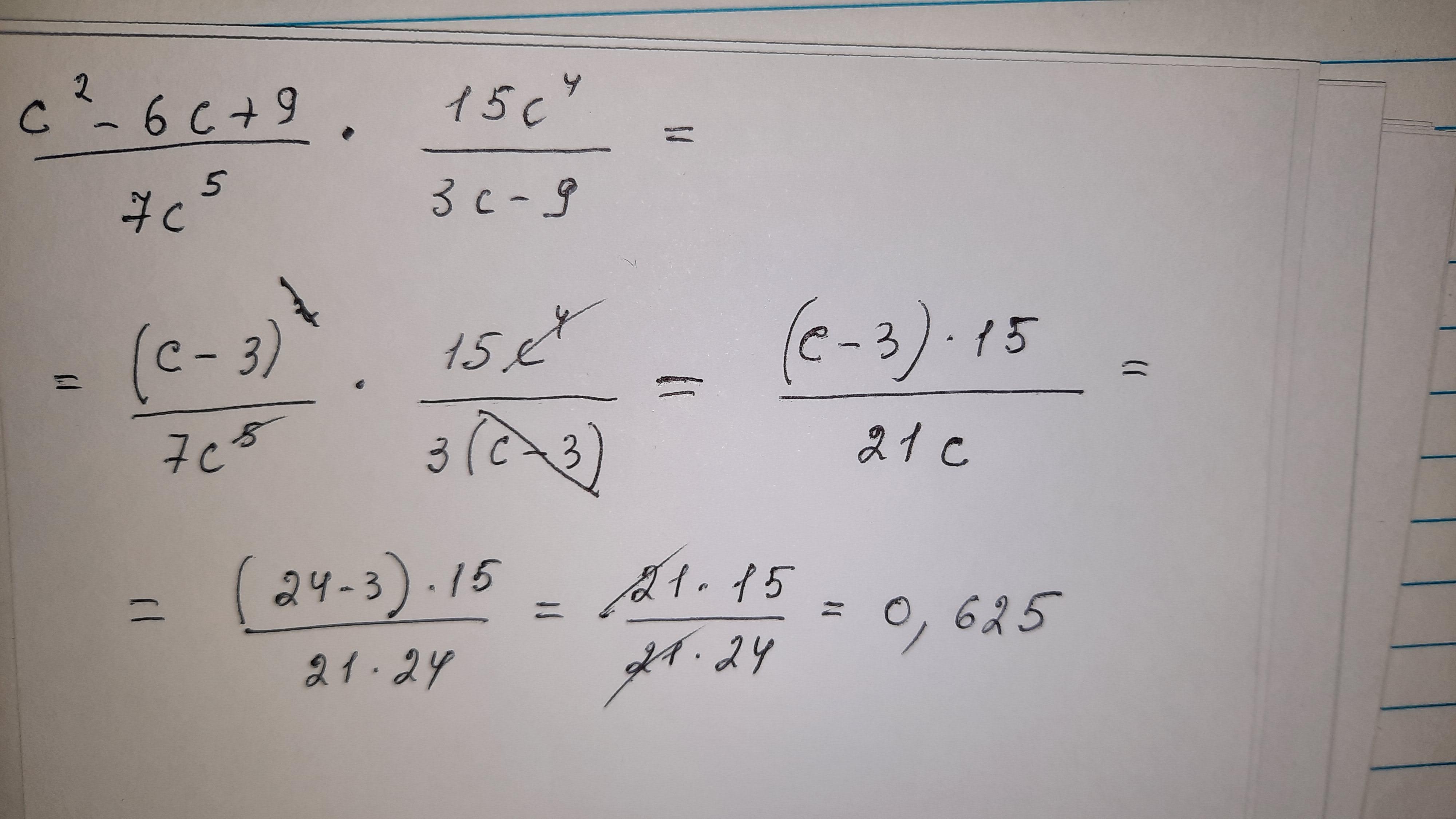
Ответ 0,625

Решение см фото

Приложения:

Аноним: спасибо большое
Аноним: спасибо большое
Вас заинтересует