• Предмет: Алгебра
  • Автор: Eleonoraboranbaeva9
  • Вопрос задан 3 года назад

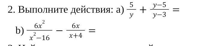
Выполни действия а) 5/y+y-5/y-3=
b) 6x²/x²-16-6x/x+4=​

Приложения:

Ответы

Ответ дал: vlvasilisaa
1

Ответ:

Решение на фото, надеюсь, понятно

Приложения:

Eleonoraboranbaeva9: спасибо большое!)
Вас заинтересует