• Предмет: Алгебра
  • Автор: alexseynavaldad
  • Вопрос задан 3 года назад

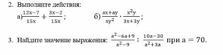
Выполните пожалуйтста 2 задания 25 баллов!

Приложения:

Ответы

Ответ дал: viktoria1448
2
Ответ: 7☀️☀️
Удачи❤️❤️❤️☺️
Приложения:

Аноним: пж подпишись
Аноним: на мне
viktoria1448: Зачем тебе это
viktoria1448: ??
Аноним: просто
Аноним: нравишься мне
viktoria1448: Хаха
Вас заинтересует