Ответы
Ответ дал:
1
Ответ:
Объяснение:
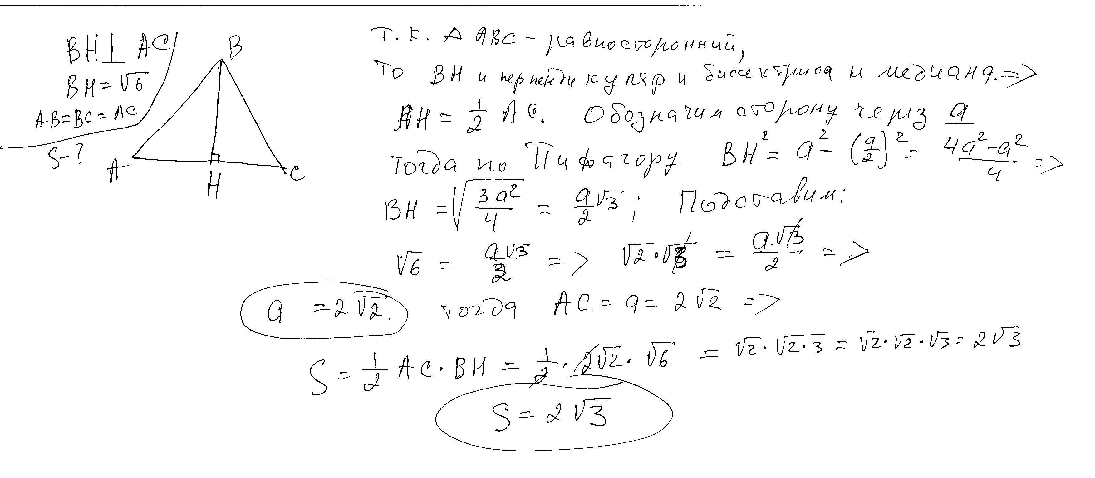
Во вложенном файле
Приложения:

Klayzi:
Помоги пожалуйста:https://znanija.com/task/44531808
Вас заинтересует
2 года назад
2 года назад
2 года назад
2 года назад
8 лет назад
9 лет назад