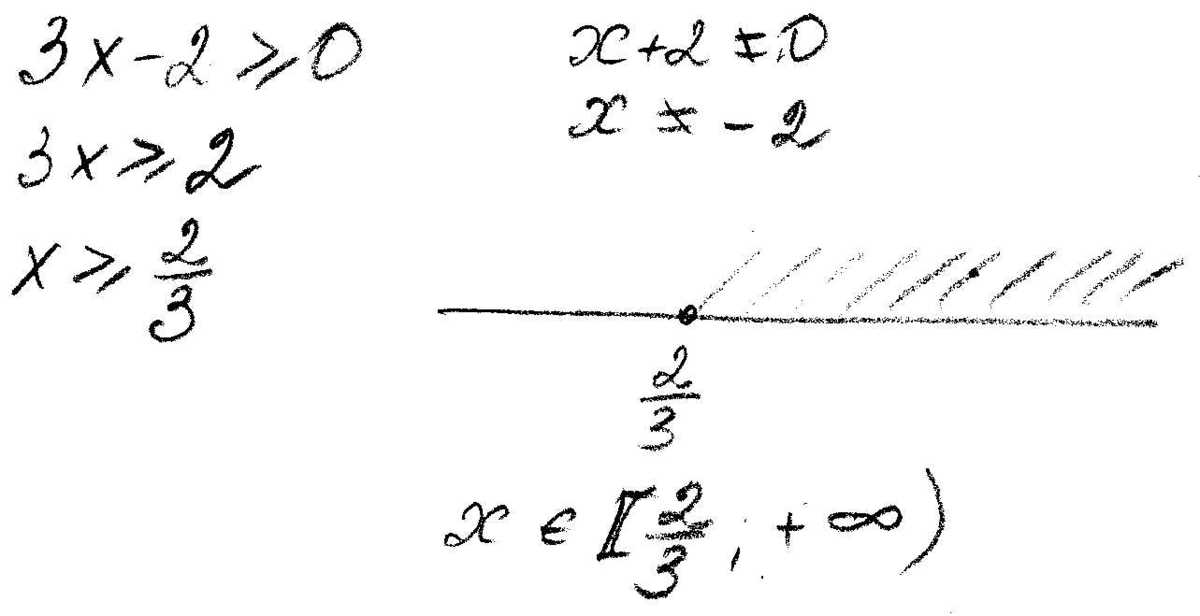
Почему у функции y=√(3x-2)/√(x+2) область определения будет x∈R, 3x≥2 и как это отобразить на числовой оси?
Ответы
Ответ дал:
0
подкоренное выражение может быть только положительным, а знаменатель не может быть равен 0.
Приложения:
Вас заинтересует
3 года назад
3 года назад
8 лет назад
8 лет назад
11 лет назад
11 лет назад
11 лет назад