Ответы
Ответ дал:
0
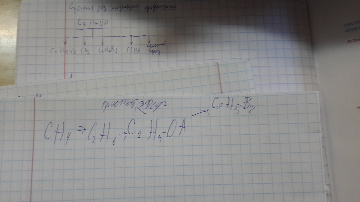
1) 2C3H7OH + 2Na -> 2C3H7ONa + H2
2C3H7OH + 9O2 -> 6CO2 + 8H2O (t)
C3H7OH + HBr -> C3H7Br + HOH (катализатор хлорид фосфора (III), (V)) PCl3 PCl5
C3H7OH -> CH2=CH-CH3 + H2O - внутримолекулярная дегидратация (конц H2SO4, t>140 градусов)
С3H7OH -> CH3-O-C2H5 + H2O - межмолекулярная дегидратация - конц. H2SO4, t<140 градусов
2) 2CH4 -> C2H2 + 3H2 - температура обязательно 1500 градусов
3C2H2 -> C6H6 - катализатор активированный уголь, температура 400-450 градусов
С6H6 + Cl2 -> C6H5Cl + HCl - катализатор FeCl3
C6H5Cl + H2O -> C6H5OH + HCl гидролиз (способ Рашига) можно с щёлочью NaOH
2С6H5OH + 2K -> 2C6H5OK + H2
3) В две стадии:
Cначала хлорируем метан до первой стадии (с помощью УФ) реакция протекает по цепному механизму:
CH4 + Cl2 -> (hU) -> CH3Cl + HCl
Потом с помощью реакции Вюрца:
2CH3Cl + 2Na -> 2NaCl + C2H6
______
Опять в две стадии; дегидрируем - катализатор - никель, платина + гидратация
C2H6 -> C2H4 + H2
C2H4 + H2O -> C2H5OH - среда кислая
_______
С2H5OH + HBr -> C2H5Br + H2O
2C2H5OH -> C2H5-O-C2H5 + H2O(конц. H2SO4, t<140 Градусов) образуется диэтиловый эфир
2C3H7OH + 9O2 -> 6CO2 + 8H2O (t)
C3H7OH + HBr -> C3H7Br + HOH (катализатор хлорид фосфора (III), (V)) PCl3 PCl5
C3H7OH -> CH2=CH-CH3 + H2O - внутримолекулярная дегидратация (конц H2SO4, t>140 градусов)
С3H7OH -> CH3-O-C2H5 + H2O - межмолекулярная дегидратация - конц. H2SO4, t<140 градусов
2) 2CH4 -> C2H2 + 3H2 - температура обязательно 1500 градусов
3C2H2 -> C6H6 - катализатор активированный уголь, температура 400-450 градусов
С6H6 + Cl2 -> C6H5Cl + HCl - катализатор FeCl3
C6H5Cl + H2O -> C6H5OH + HCl гидролиз (способ Рашига) можно с щёлочью NaOH
2С6H5OH + 2K -> 2C6H5OK + H2
3) В две стадии:
Cначала хлорируем метан до первой стадии (с помощью УФ) реакция протекает по цепному механизму:
CH4 + Cl2 -> (hU) -> CH3Cl + HCl
Потом с помощью реакции Вюрца:
2CH3Cl + 2Na -> 2NaCl + C2H6
______
Опять в две стадии; дегидрируем - катализатор - никель, платина + гидратация
C2H6 -> C2H4 + H2
C2H4 + H2O -> C2H5OH - среда кислая
_______
С2H5OH + HBr -> C2H5Br + H2O
2C2H5OH -> C2H5-O-C2H5 + H2O(конц. H2SO4, t<140 Градусов) образуется диэтиловый эфир
Вас заинтересует
3 года назад
8 лет назад
8 лет назад
11 лет назад
11 лет назад