• Предмет: Математика
  • Автор: kalifoldanovatomiris
  • Вопрос задан 3 года назад

срочно лучший ответ дам​

Приложения:

Ответы

Ответ дал: 123Dinamo
1

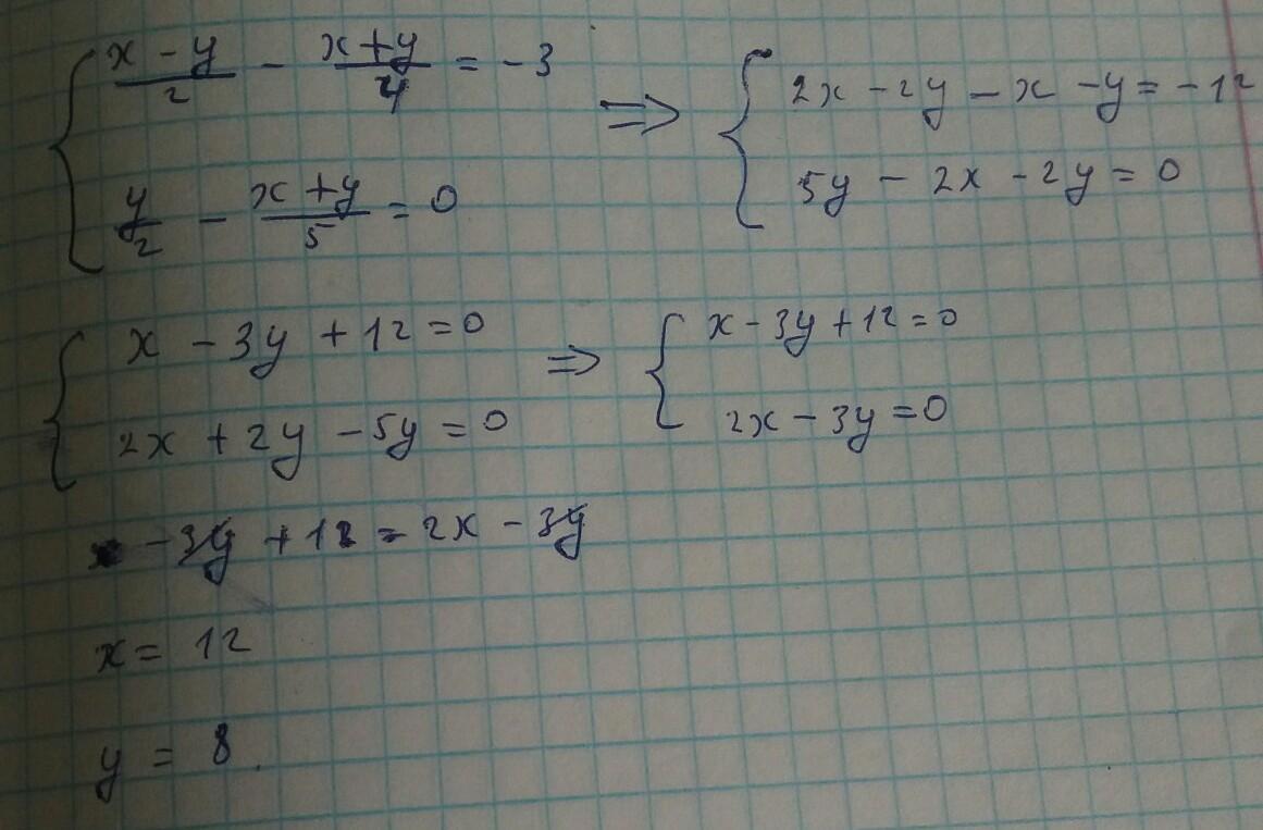
Ответ:

X = 12

Y = 8

Пошаговое объяснение:

Я смог помочь!?

Приложения:
Вас заинтересует