• Предмет: Математика
  • Автор: Miras20081225
  • Вопрос задан 3 года назад

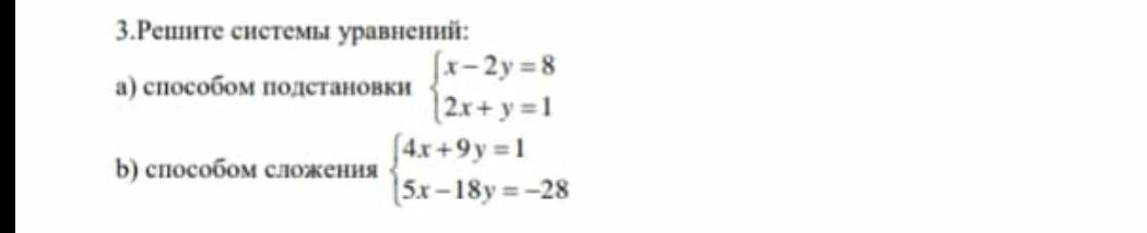
Решите системы уравнений:
а) способом подстановки
b) способом сложение

Приложения:

Ответы

Ответ дал: daneliya120304
8

Пошаговое объяснение:

В первой системе с первого уравнения вырази х через у, получится х=8+2у,потом подставь это во второе уравнение и развяжи. Ответ (2; - 3)

Во второй умножь первое уравнение на 2 получиться 8х+18у=2 потом 18х-18х=0, а уравнение будет 13х=-26, х=-2. Подставь этот х в первое уравнение системы 4*(-2)+9у=1. Получается у=1. Ответ (-2; 1)

Приложения:

Аноним: Найз
sony1313: спасибо❤️
Ответ дал: pushpull
0

Ответ:

Пошаговое объяснение:

a) из первого выражаем х и подставляем во второе

\displaystyle \left \{ {{x-2y=8} \atop {2x+y=1}} \right. \left \{ {x=8+2y\hfill} \atop {2(8+2y)+y=1}} \right. \left \{ {{x=8+2y\hfill} \atop {5y=-15}} \right. \left \{ {{x= 2\hfill} \atop {y=-3}} \right.

b) для "полезного" сложения умножим первое на 2 и прибавим ко второму

\displaystyle \left \{ {4x+9y=1\hfill} \atop {4x-18y=-28}} \right. \left \{ {{8x+18y=2} \atop {12x=-26\hfill}} \right. \left \{ {{9y=1-4x} \atop {x=-\displaystyle\frac{13}{6} \hfill}} \right. \left \{ {{\displaystyle y=-\frac{31}{54} } \atop {x=-\displaystyle\frac{31}{6} }} \right.

Вас заинтересует