Знайдіть дискримінант квадратного тричлена та вкажіть кількисть його коренів.
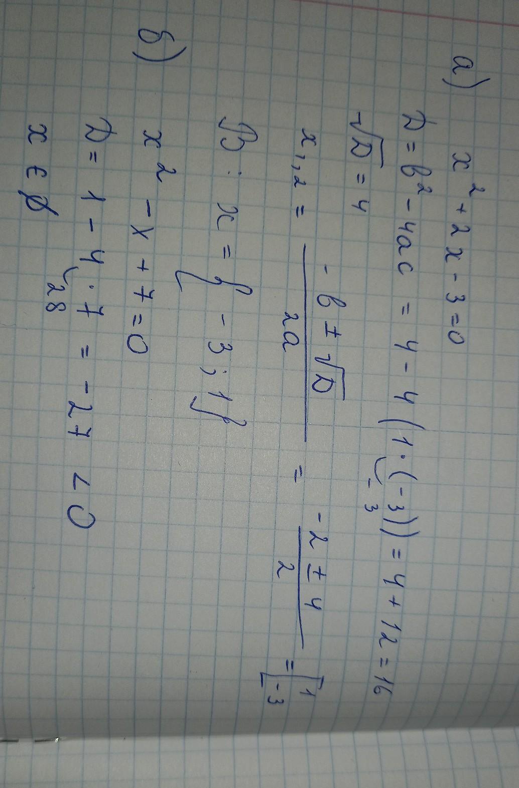
А) х²+2х-3
Б) х2-х+7
Ответы
Ответ дал:
0
Ответ:
в 1 уравнении-2 корня, во 2- x принадлежит пустому множеству, потому что дискриминант меньше нуля
Приложения:

Вас заинтересует
2 года назад
2 года назад
2 года назад
2 года назад
8 лет назад
9 лет назад
9 лет назад