СРОЧНО!!! #456(1,3) упростите выражение даю 50 баллов Помогите!!
Приложения:

solovevfedor245:
Нужно сделать только 1 и 3?????
Ответы
Ответ дал:
1
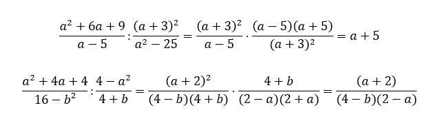
Ответ на задачи 1 и 3.
Приложения:

Вас заинтересует
2 года назад
2 года назад
2 года назад
2 года назад
8 лет назад
9 лет назад