• Предмет: Информатика
  • Автор: DAYNcamTIdayn
  • Вопрос задан 3 года назад

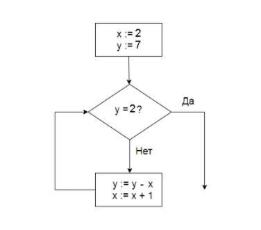
Определите значение переменной Х после выполнения алгоритма, заданного блок-схемой.

Приложения:

Ответы

Ответ дал: dauren190307
0

Ответ: X = 4

Объяснение:

y = 7 - 2 = 5

x = 2 + 1 = 3

============

y = 5 - 3 = 2

x = 3 + 1 = 4

потом игрик будет равнятся 2 поэтому цикл заканчивается и икс будет равен 4

Вас заинтересует