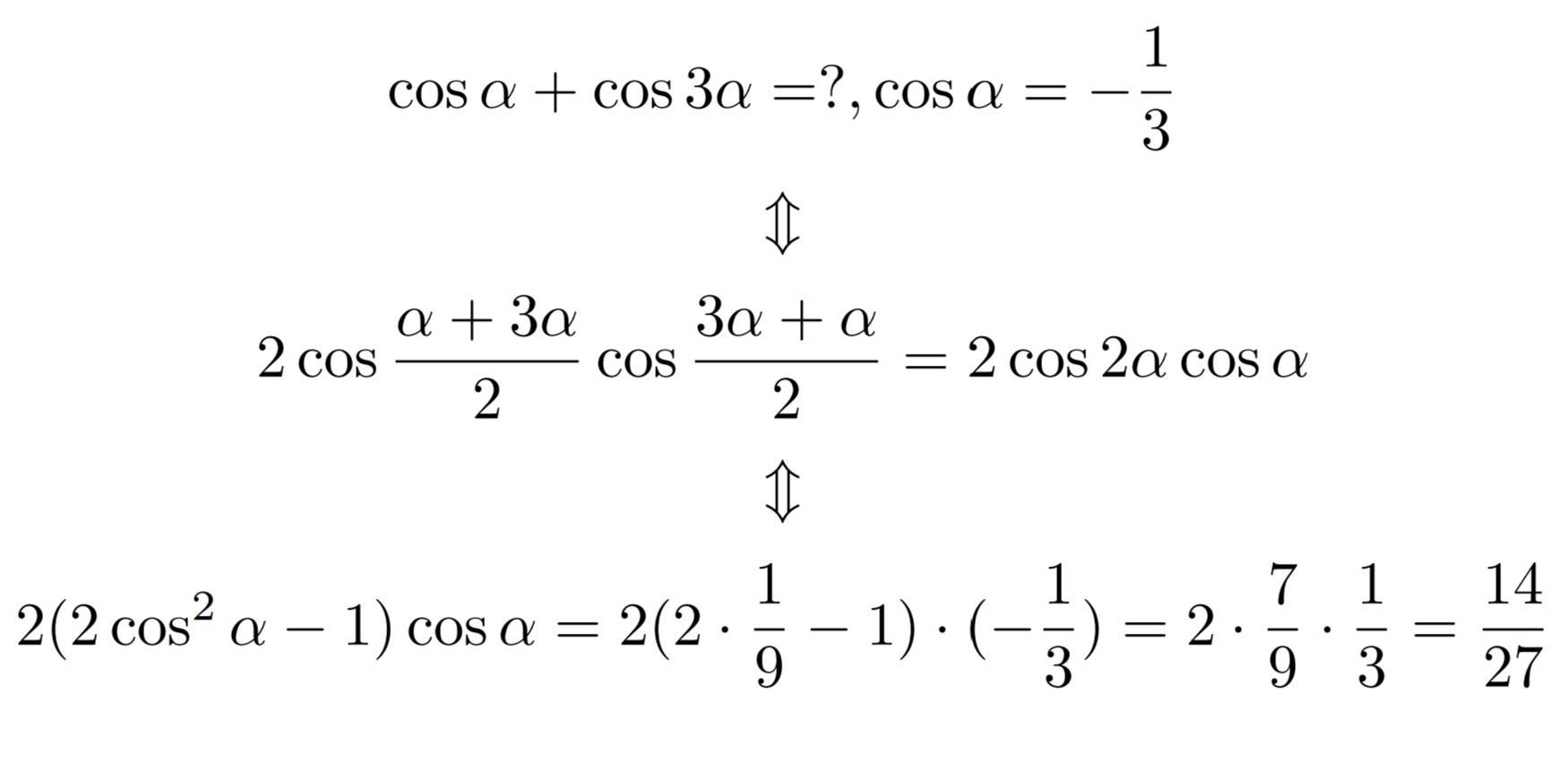
используя формулы преобразования суммы и разности тригонометрических функций в произведение упростите выражение cos
+ cos3
и найдите его значение, если cos
=
Ответы
Ответ дал:
1
Ответ:
Объяснение:
Смотри фото
Приложения:

Вас заинтересует
2 года назад
2 года назад
2 года назад
8 лет назад
8 лет назад
9 лет назад