• Предмет: Математика
  • Автор: anastasiaovcarenko48
  • Вопрос задан 3 года назад

срочно сделайте пж пж пж пж пж пж пж.​

Приложения:

Ответы

Ответ дал: Аноним
1

Ответ:

Пошаговое объяснение:

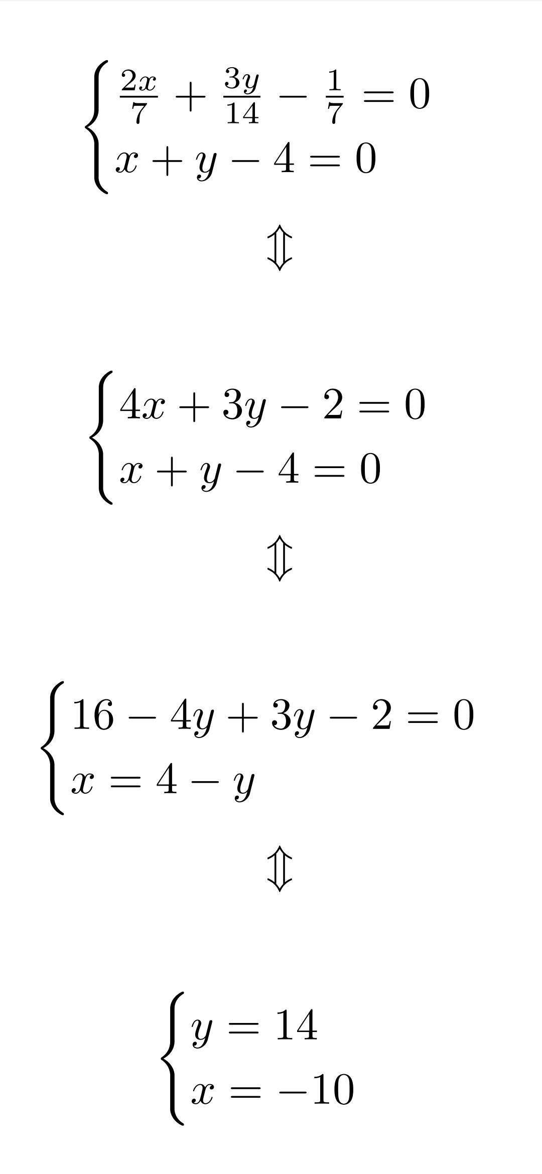
Смотри фото

Приложения:
Вас заинтересует