• Предмет: Алгебра
  • Автор: dimanorgsing
  • Вопрос задан 11 лет назад

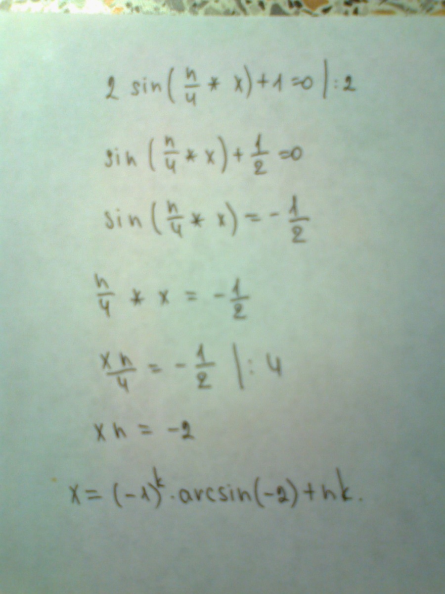
решите уравнение 2sin(π/4*x)+1=0

Ответы

Ответ дал: kuznetsovakari
0
Вот так
...............
Приложения:
Ответ дал: dimanorgsing
0
у меня ответы есть что то не сходится 1) (-1)^k+1 +4k , k€Z 2)+-2/3+4k, k€Z 3) +-4/3+8k , k€Z , 4) (-1)^k *1/6 + 8/k , k€Z
Ответ дал: dimanorgsing
0
вот 4 варианта ответа один из них правильный
Вас заинтересует