• Предмет: Алгебра
  • Автор: blomfield
  • Вопрос задан 3 года назад



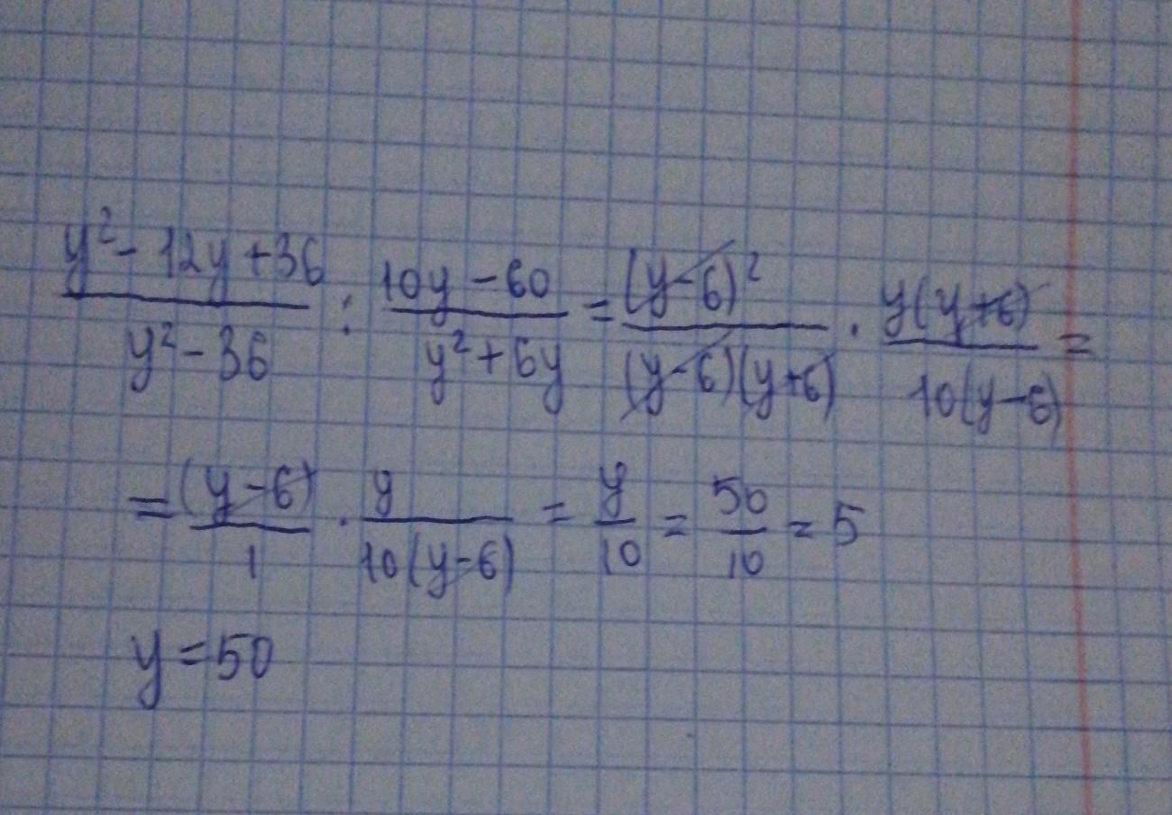
3. Найдите значение выражения:

у^2-12у+36/(у^2-36) ∶ 10у-60/у^2+6у при у=50;

Приложения:

jekadva: = 5

Ответы

Ответ дал: ludmilaksenija2005
4

Объяснение:

Решение на фото

-----___----____-

Приложения:

blomfield: хоть уже и поздно, но спасибо
Вас заинтересует