• Предмет: Алгебра
  • Автор: harafgt
  • Вопрос задан 3 года назад

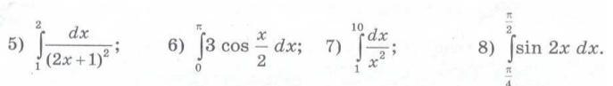
Интеграл Обчисліть интеграл

Приложения:

Ответы

Ответ дал: Miroslava227
1

Ответ:

5

Объяснение:

5.

\int\limits^{ 2 } _ {1} \frac{dx}{  {(2x + 1)}^{2}  } =  \frac{1}{2}  \int\limits^{ 2 } _ {1} \frac{d(2x + 1)}{ {(2x + 1)}^{2} }  =  \\  =  \frac{ {(2x + 1)}^{ - 1} }{ - 1}  | ^{ 2 } _ {1}  =  -  \frac{1}{2x + 1} | ^{ 2 } _ {1} =  \\  =  -  \frac{1}{5}  +  \frac{1}{3}  =  \frac{ - 3 + 5}{15}  =  \frac{2}{15}

6.

\int\limits^{  \pi } _ {0}3 \cos( \frac{x}{2} )dx =  \frac{3}{2}  \int\limits^{ \pi } _ {0} \cos( \frac{x}{2} )d( \frac{x}{2} )   =  \\  =  \frac{3}{2} \sin( \frac{x}{2} )  | ^{ \pi } _ {0}  =  \frac{3}{2} ( \sin( \frac{\pi}{2} )  -  \sin(0))  =  \\  =  \frac{3}{2} (1 - 0) = 1.5

7.

\int\limits^{ 10 } _ {1} \frac{dx}{ {x}^{2} }  = \int\limits^{ 10 } _ {1}  {x}^{ - 2}dx =  \frac{ {x}^{ - 1} }{ - 1}  | ^{ 10 } _ {1} =  \\  =  -  \frac{1}{x}  | ^{ 10} _ {1} =  -  \frac{1}{10}  + 1 =  \frac{9}{10}  = 0.9

8.

\int\limits^{  \frac{\pi}{2} } _ { \frac{\pi}{4} } \sin(2x)dx =  \frac{1}{2}  \int\limits^{  \frac{\pi}{2} } _ { \frac{\pi}{4} }  \sin(2x)d(2x) =  \\  =  - \frac{1}{2}  \cos(2x)   | ^{  \frac{\pi}{2}  } _ { \frac{\pi}{4} } =  -  \frac{1}{2}  \cos(\pi)  +  \frac{1}{2}  \cos( \frac{\pi}{2} )  = 0.5

Вас заинтересует