Ответы
Ответ дал:
0
Ответ:
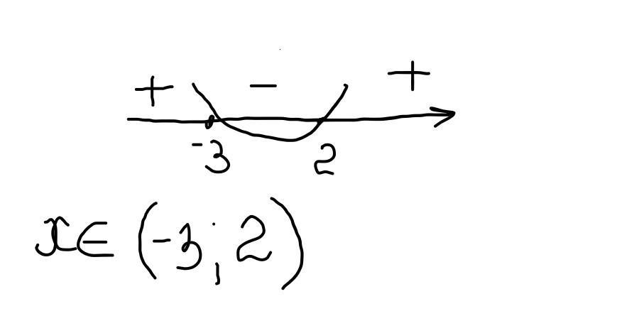
х∈(-3;2)
Объяснение:
2х²+2x-24<0
2х²+2x-24=0
D=4+96=100
=
= -3
=
=2
Чертим координатную прямую:
Приложения:

Ysstop1:
есть у меня его фото с вариантами
Вас заинтересует
2 года назад
2 года назад
2 года назад
8 лет назад
8 лет назад
9 лет назад