• Предмет: Алгебра
  • Автор: Yuli123454321
  • Вопрос задан 3 года назад

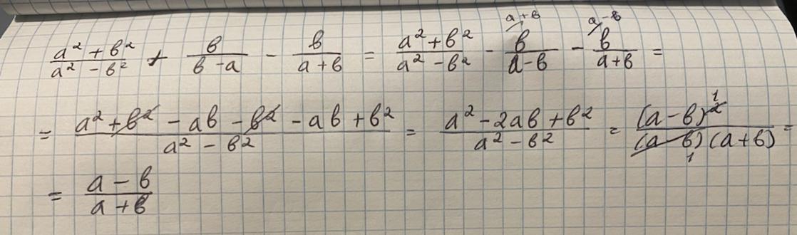
Спростіть!\frac{a^2+b^2}{a^2-b^2} +\frac{b}{b-a} -\frac{b}{a+b}

Ответы

Ответ дал: yyaminaa2567
1
Привет! Вот решение. Будут вопросы пиши
Приложения:
Вас заинтересует