• Предмет: Алгебра
  • Автор: undina77
  • Вопрос задан 3 года назад

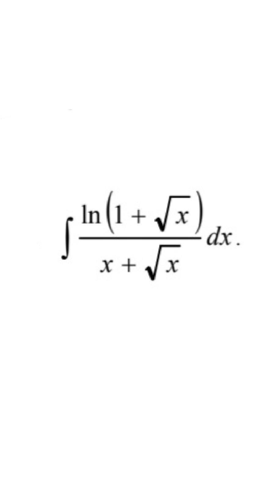
Найти неопределенные интегралы методом замены переменной​

Приложения:

Ответы

Ответ дал: NNNLLL54
1

Ответ:

\int \dfrac{ln(1+\sqrt{x})}{x+\sqrt{x}}\, dx=\int \dfrac{ln(1+\sqrt{x})}{\sqrt{x}\cdot (\sqrt{x}+1)}\, dx=\Big[\ t=1+\sqrt{x}\ \ ,\ \ \sqrt{x}=t-1\ ,\\\\\\x=(t-1)^2\ ,\ dx=2(t-1)\, dt\ \Big]=\int \dfrac{lnt}{(t-1)\cdot t}\cdot 2(t-1)\, dt=2\int \dfrac{lnt}{t}\, dt=\\\\\\=2\int lnt\cdot \dfrac{dt}{t}=\Big[\ u=lnt\ ,\ du=\dfrac{dt}{t}\ \Big]=2\int u\cdot du=2\cdot \dfrac{u^2}{2}+C=ln^2t+C=\\\\\\=ln^2(1+\sqrt{x})+C

Вас заинтересует