Ответы
Ответ дал:
1
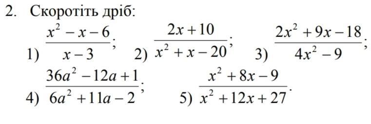
Ответ:
1) х+2
2) 2/(x-4)
3) (x-6)/(2x+3)
4) (6a-1)/(a+2)
5) (x-1)/(x+3)
Объяснение:
ax²+bx+c=a(x-x1)(x-x2)
Приложения:


Вас заинтересует
2 года назад
2 года назад
8 лет назад
8 лет назад
9 лет назад