• Предмет: Алгебра
  • Автор: masastepanenko06
  • Вопрос задан 3 года назад

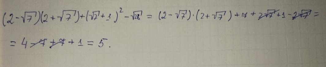
Знайдіть значення виразу (2-√7)(2+√7)+(√7+1)²-√28​

Ответы

Ответ дал: Error403030
3

Ответ:

5

Объяснение:

a²-b²=(a-b)(a+b)

(a+b)²=a²+2ab+b²

(2-√7)(2+√7)+(√7+1)²-√28=(2-√7)(2+√7)+7+2√7+1-2√7=4-7+7+1=5

Приложения:
Ответ дал: Аноним
1

(2-√7)(2+√7)+(√7+1)²-√28​=(4-7)+(7+2√7+1)-√(4*7)=5+2√7-2√7=5

Вас заинтересует