• Предмет: Химия
  • Автор: mshkvtnn
  • Вопрос задан 3 года назад

виконайте , будь ласка , вправу номер 2

Приложения:

Ответы

Ответ дал: Warlock1
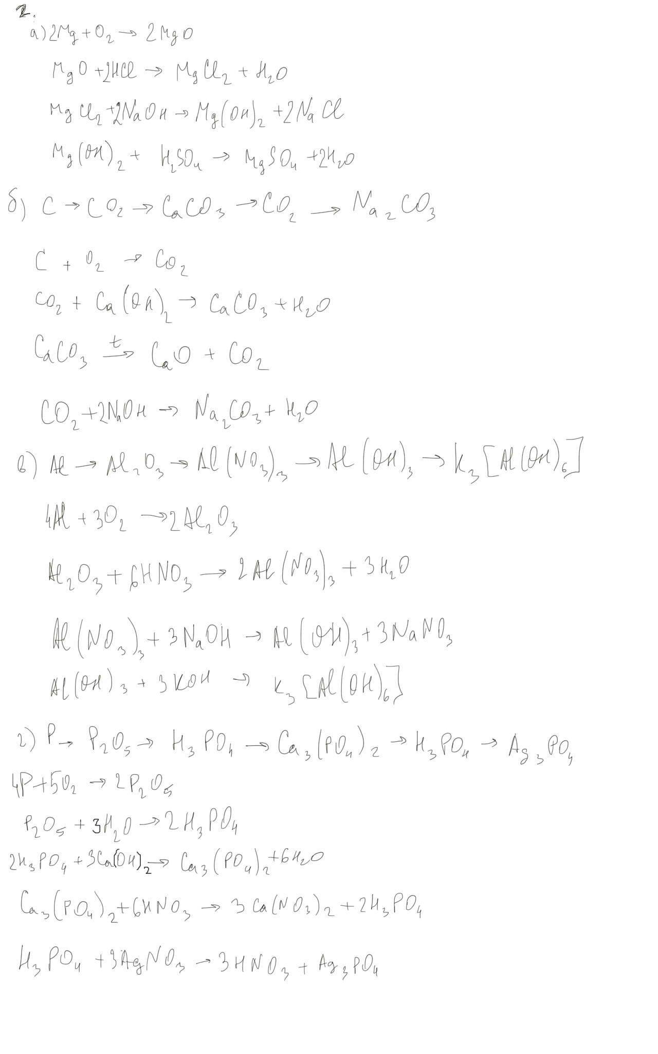
1

Ответ:

вроде так

Объяснение:

Приложения:

mshkvtnn: спасибо большое
Вас заинтересует