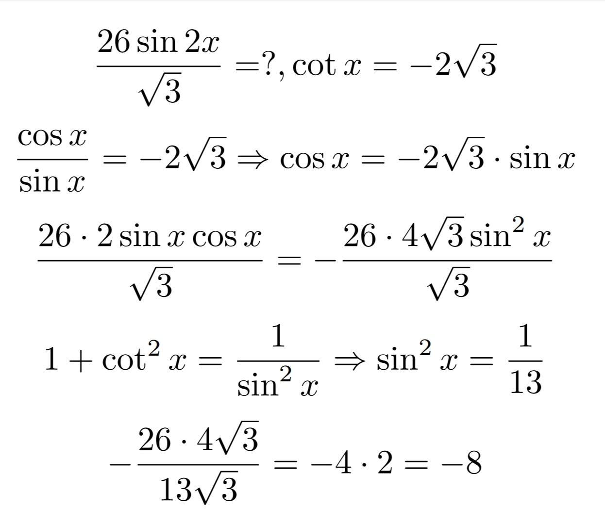
Вычислите значение тригонометрического выражения 26*sin2x/
если ctgx= -2
Аноним:
А что найти надо?
Ответы
Ответ дал:
0
Ответ:
Пошаговое объяснение:
Вроде так
Приложения:

Вас заинтересует
2 года назад
2 года назад
2 года назад
2 года назад
8 лет назад
8 лет назад
9 лет назад