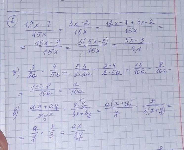
Выполните действия
а) 12x-7/15x+3x-2/15x
б) 3a/2a-4a/5a
в)ax+ay/xy²*x²y/3x+3y
г) (3a³/8b²) ²
подробное решение пожалуйста
30tae30:
/ это дробь или деление? :)
Ответы
Ответ дал:
14
Ответ:
)))))))))))))))))))))))
Приложения:


Вас заинтересует
2 года назад
2 года назад
2 года назад
2 года назад
8 лет назад
8 лет назад
9 лет назад