Ответы
Ответ дал:
2
Ответ:
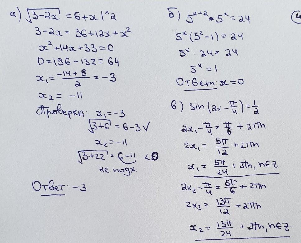
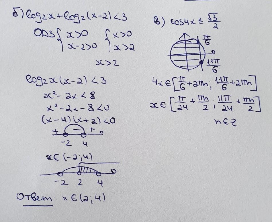
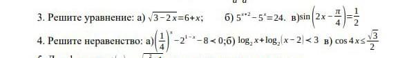
решение на фотографиях
Приложения:



Klayzi:
Привет,помоги пожалуйста:https://znanija.com/task/44568423
Вас заинтересует
2 года назад
2 года назад
2 года назад
8 лет назад
8 лет назад
9 лет назад