• Предмет: Алгебра
  • Автор: maxvip66610
  • Вопрос задан 3 года назад

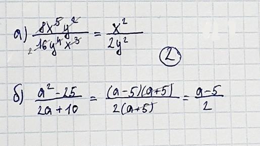
ПОМОГИТЕ ПОЖАЛУЙСТА!!! ДАЮ 20 БАЛЛОВ!!! 1. При каких значениях переменной алгебраическая дробь имеет смысл? a) 5x-3/6x-5 b) y3/y-6 c) x^2-4 2. Сократите дробь: а) 8x^5y^2/16y^4x^3 б) a^2-25/2a+10


maxvip66610: ПОМОГИТЕ)
maxvip66610: кто знает ответ?

Ответы

Ответ дал: DAYPODYMAT
1

Ответ:

на фото

Объяснение:

в 1 с), я не поняла.

и кст, тебе не решили задания сразу, потому что мало баллов;)

Приложения:
Вас заинтересует