• Предмет: Алгебра
  • Автор: duratupayanoname
  • Вопрос задан 3 года назад

Помогите пожалуйста с алгеброй

Приложения:

Ответы

Ответ дал: NikaaNikol
1

Ответ:

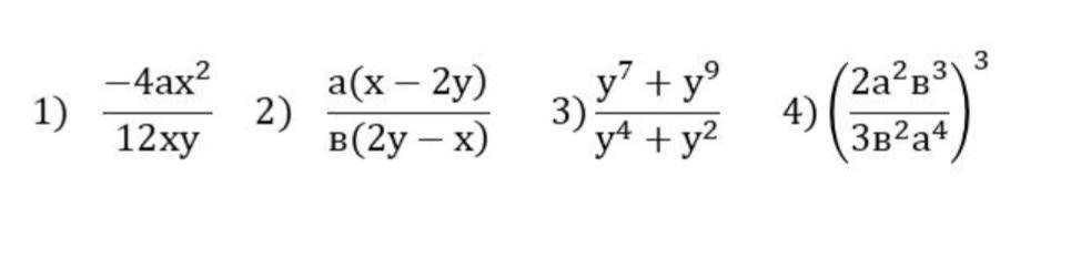
1)- \frac{ax}{3y} 2)-\frac{a}{B} 3) y^{5} 4) \frac{8B^{3} }{27a^{6} }

Объяснение:

оп оп, живем живем


duratupayanoname: Правильно ?
NikaaNikol: ну да
duratupayanoname: Спасибо
Вас заинтересует