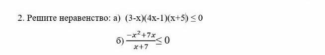
помогите сделать это задание за ранее я вас поблагодарю с лайками и оценивать на 5 звёзд и я обязательно подпишусь на вас ещё вам дам баллов 14 баллов остальное на фотографии помогите)))))))))
Приложения:

mirttusupaeva:
должен быть обязательно чтобы правильно было
Ответы
Ответ дал:
0
Ответ:
ответ на фотографии, удачи тебе
Приложения:

Вас заинтересует
2 года назад
2 года назад
2 года назад
9 лет назад
9 лет назад