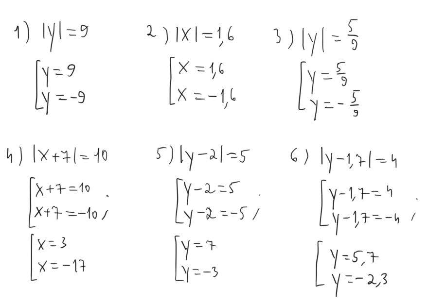
Найдите корень уравнений:
1) |у|=9
2) |х|=1,6
3) |у|=5/9
4)|х+7|=10
5) |у-2|=5
6)|у-1,7|=⁴
Плизззз помогите.меня не было на этой теме я лежала в больнице!
Ответы
Ответ дал:
0
Модуль - это всегда положительное число. Или можно сказать, что модуль какого - то числа является длиной расстояния от нуля до этого числа. К примеру, модуль |5|=5, потому что от 0 до 5 расстояние 5. Модуль | - 8 |=8, т.к. от 0 до -8 расстояние 8. Раскрывается модуль |x|=a так: x=a, если x>=0, и x=-a, если x<=0. Допустим |x-2|=5;
x-2 = 5 или x-2 = -5. Но уравнение |x|=-4 не имеет решений, потому что модуль - всегда положительное число. Решаем эту совокупность двух уравнений, и находим корни. Решение на картинке.
x-2 = 5 или x-2 = -5. Но уравнение |x|=-4 не имеет решений, потому что модуль - всегда положительное число. Решаем эту совокупность двух уравнений, и находим корни. Решение на картинке.
Приложения:
Вас заинтересует
8 лет назад
8 лет назад
11 лет назад
11 лет назад
11 лет назад