• Предмет: Алгебра
  • Автор: ivi20082008
  • Вопрос задан 3 года назад

Даю 45 балов срочно ​

Приложения:

Ответы

Ответ дал: Аноним
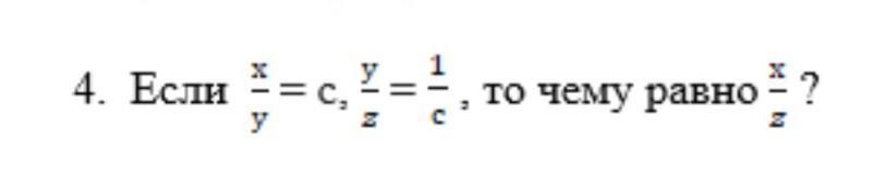
1

х/у=с; у/z=1/c⇒х/z=?

Выразим х через у, получим х=су;

Выразим z через у, получим z=су

Значит, х/z=су/(су)=1

Ответ 1

Вас заинтересует