Ответы
Ответ дал:
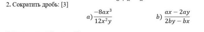
1
Ответ:
.........................................
Приложения:

dhhdrjfhhrhrhd:
Спасибо можешь ответить под последнии
Вас заинтересует
2 года назад
2 года назад
2 года назад
8 лет назад
8 лет назад
9 лет назад