• Предмет: Алгебра
  • Автор: vnnvnnv
  • Вопрос задан 3 года назад

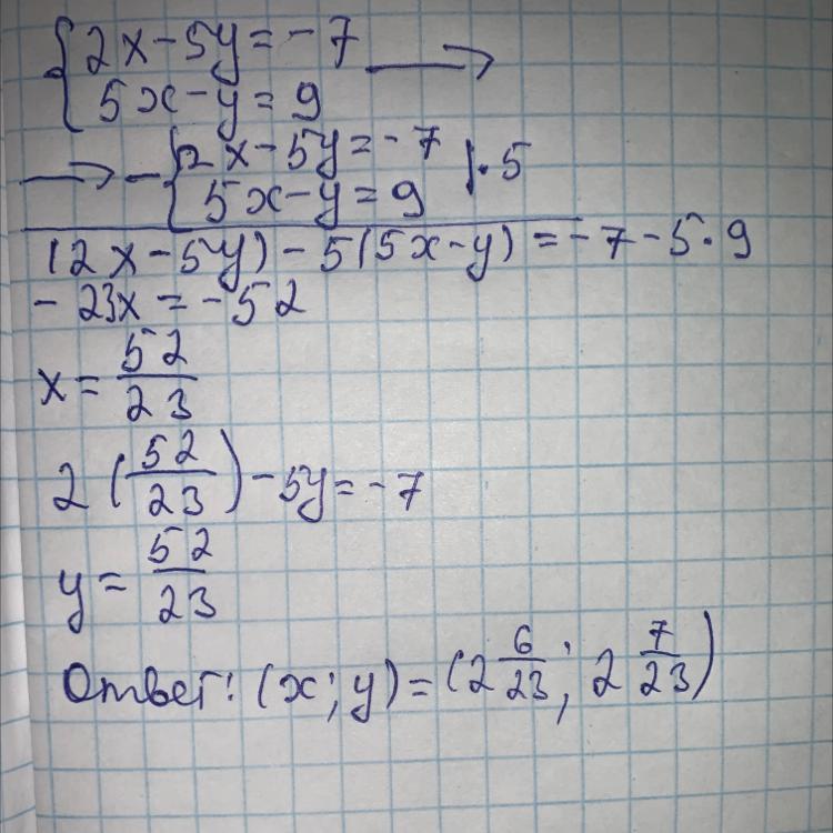
!!30 баллов!!помогите пожалуйста решить методом сложения​

Приложения:

Ответы

Ответ дал: sofiyaborisova02
1
Ответ и решение ниже, удачи!

Можно лучший ответ?
Приложения:

vnnvnnv: спасибо большое!!!!
Вас заинтересует