• Предмет: Алгебра
  • Автор: soylesq
  • Вопрос задан 3 года назад

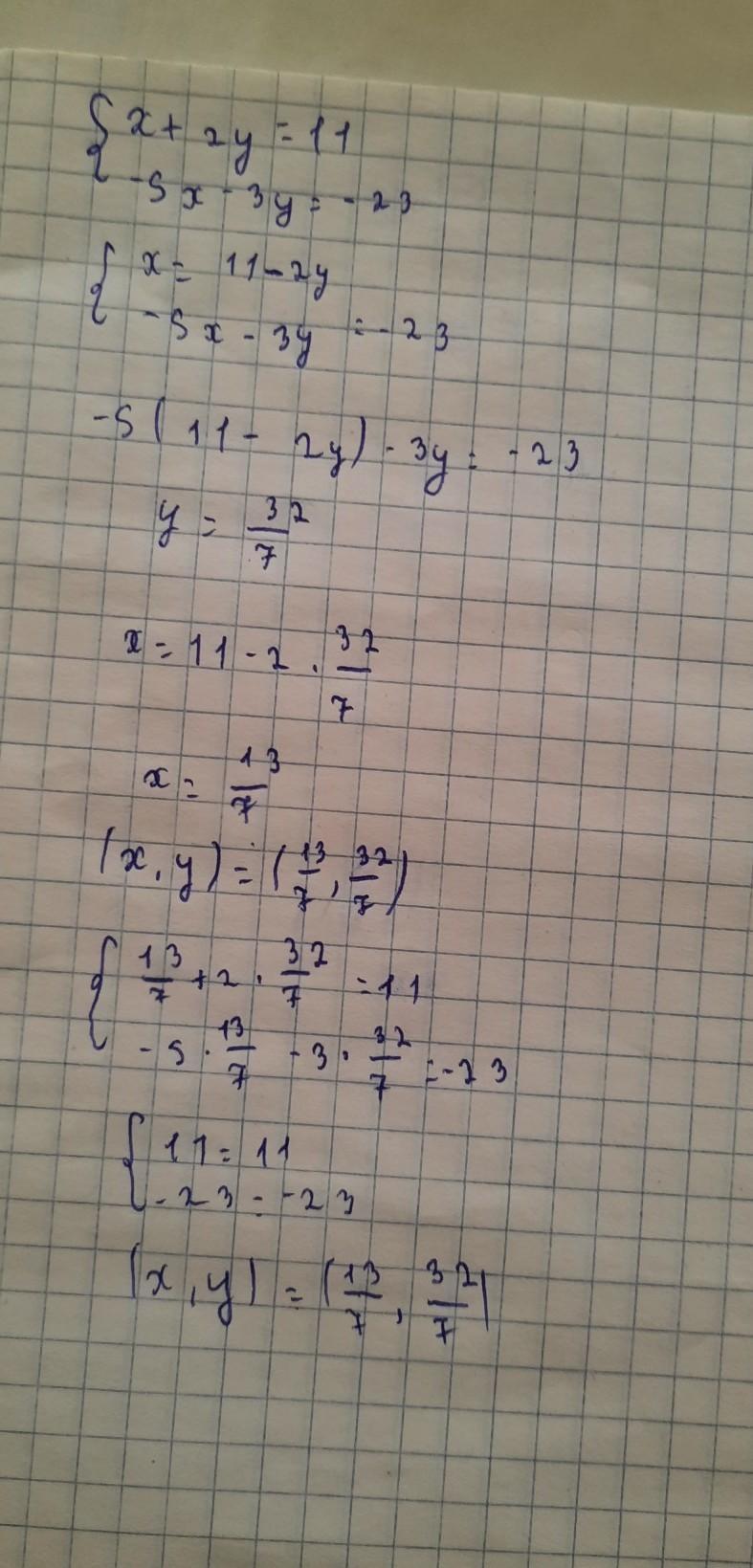
{x+2y=11
{-5x-3y=-23​

Ответы

Ответ дал: АSKHAT
2

••••••••••••

•••••••••

••••••

••••

••

Приложения:

soylesq: спасибо тебе большое!!
АSKHAT: Не за что
Вас заинтересует