• Предмет: Алгебра
  • Автор: rozhina1998
  • Вопрос задан 11 лет назад

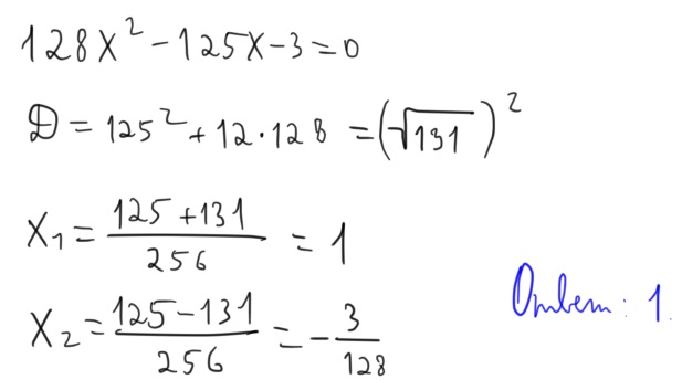
128x²-125x-3=0 найдите наибольший корень уравнения

Ответы

Ответ дал: nikolac
0
Решение на картинке.
Приложения:
Ответ дал: NurgulKairatova
0
Д=(-125)^2+4•128•3=17161=131^2
х1=(125+131)/256=1
х2=(125-131)/256=-3/128
Приложения:
Вас заинтересует
11 лет назад