• Предмет: Алгебра
  • Автор: tanyavdovchenko999
  • Вопрос задан 3 года назад

ПОЖАЛУЙСТА ПОМОГИТЕ!!!
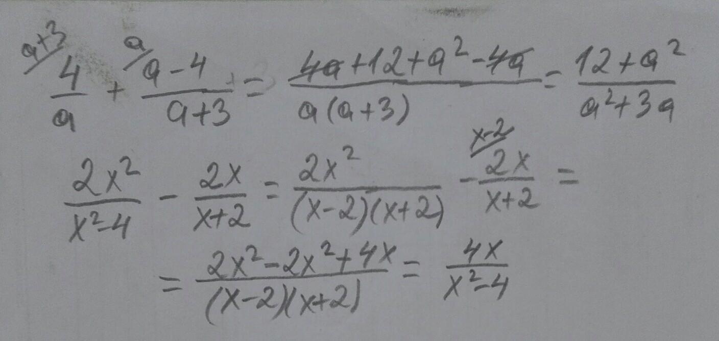
Выполните действия: а)4/a+a-4/a+3; б)2x^2/x^2-4-2x/x+2
(Это дроби)


s1051966: х/z=1

Ответы

Ответ дал: s1051966
2

Ответ:

Выполните действия: а)4/a+a-4/a+3; б)2x^2/x^2-4-2x/x+2

Приложения:
Вас заинтересует