• Предмет: Алгебра
  • Автор: Аноним
  • Вопрос задан 11 лет назад

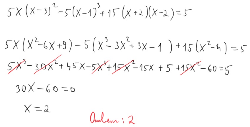
Решите уравнение 5x(x-3)^2 - 5(x-1)^3 + 15(x+2)(x-2)=5

Ответы

Ответ дал: nikolac
0
Решение на картинке.
Приложения:
Вас заинтересует